怎么把 cal 字体变成 LaTeX 里 mathcal 默认的那种?
Typst 中数学字体默认是 New Computer Modern Math,与 LaTeX 中默认[1]的 Computer Modern Math 略有不同。
若想使用 LaTeX 默认的\mathcal花体,请按以下两种方法之一更换字体。
另外,LaTeX 中有 calligraphic 和 script 两种花体,此处是前者;后者请参考如何实现\mathscr的花体符号。
法一:使用修改版字体(推荐)
- 下载
CMSY10-fix_cmap_kerning.otf并安装 - 如下设置
covers
修改前 $cal(K M Z), cal(P)_n, cal(T)^p$
#show math.equation: set text(font: (
(name: "Computer Modern Symbol", covers: regex("[𝒜ℬ𝒞𝒟ℰℱ𝒢ℋℐ𝒥𝒦ℒℳ𝒩-𝒬ℛ𝒮-𝒵]")),
"New Computer Modern Math",
))
修改后 $cal(K M Z), cal(P)_n, cal(T)^p$
该字体的字形与法二相同,但将字符重新映射到了正确的 Unicode 码位,并补充了 MathKernInfo、MathItalicsCorrectionInfo 等信息。感谢网友“请输入密码”进行修改工作并无偿分享。
为何正则表达式如此凌乱?
以上正则表达式[𝒜ℬ𝒞𝒟ℰℱ𝒢ℋℐ𝒥𝒦ℒℳ𝒩-𝒬ℛ𝒮-𝒵]不可简省为[𝒜-𝒵]。由于历史原因,大写花体字母的编码并不连续,而分散在 Letterlike Symbols 和 Mathematical Alphanumeric Symbols 两块。具体可参考 typst/codex 源代码或 Mathematical Alphanumeric Symbols - Wikipedia。
需要同时使用 scr?
以上设置会同时影响cal(A)和scr(A),因为 Unicode 把它们统一编码了[2]。
如需同时使用二者,请自定义函数设置字体。
默认字体效果 $cal(L)^p != scr(L)^p, cal(a)_n = scr(a)_n$
#show math.equation: set text(font: (
(name: "Computer Modern Symbol", covers: regex("[𝒜ℬ𝒞𝒟ℰℱ𝒢ℋℐ𝒥𝒦ℒℳ𝒩-𝒬ℛ𝒮-𝒵]")),
"New Computer Modern Math",
))
更换字体之后 $cal(L)^p = scr(L)^p, cal(a)_n = scr(a)_n$
#let scr(it) = text(
font: "New Computer Modern Math",
$std.math.scr(it)$,
)
自定义`scr`后 $cal(L)^p != scr(L)^p, cal(a)_n = scr(a)_n$
#let cal(it) = text(
font: ("Computer Modern Symbol", "New Computer Modern Math"),
$std.math.scr(it)$,
)
只自定义`cal`也可行 $cal(L)^p != scr(L)^p, cal(a)_n = scr(a)_n$
法二:使用原版字体
- 从 matplotlib 的
mpl-data/fonts/ttf/文件夹下载cmsy10.ttf并安装 - 如下设置
font: "cmsy10"并用upright切换到普通码位
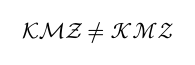
#let cal(s) = text(font: "cmsy10", math.upright(s))
$ cal(K M Z) != std.math.cal(K M Z) $
为何出现 matplotlib?
Computer Modern Math 早于 OpenType 技术标准,通常以 Type 1 字体形式存在,如cmsy10.pfm。
今天很多软件都不支持*.pfm。matplotlib 开发者将它转换成了cmsy10.ttf,可供 Typst 等软件使用。
该方法存在以下若干问题,主要为介绍原理而保留;法一通过修改字体解决了这些问题,实用时还是推荐法一。
上下标位置不对
cmsy10.ttf缺少 MathKernInfo 等信息,导致上下标位置异常。其中,竖直位置有玄学办法勉强修补(加上context),而水平位置则无已知办法能完全解决。
#set align(end)
正常效果 $cal(P)_n, cal(T)^p$
#let cal(s) = text(font: "cmsy10", math.upright(s))
异常效果 $cal(P)_n, cal(T)^p$
#let cal(s) = context text(font: "cmsy10", math.upright(s))
勉强修补后 $cal(P)_n, cal(T)^p$
更全面的测试请参考 How to use (old) Computer Modern for math.cal? And why context matters? - Questions - Typst Forum。
码位不是数学字符
该方法中,大写字母复制出来是KMZ(ASCII)而非𝒦︀ℳ︀𝒵(Unicode 数学字符),而其余字符更是连显示也不对。这是因为原版cmsy10.ttf设置的码位不符合今日习惯,如对比表格所示。
对比表格
#let examples = (
[ABC],
$cal(A B C)$,
[abc],
[012],
$cal(T) x - 2 y >> cal(A)$,
"!#%()",
$-> => arrow.r.quad arrow.tr arrow.b$,
"~£¥§μ¶",
[ÀÁÂÃÄÅ],
)
#set table(stroke: none, align: center + horizon)
#table(
columns: 3,
table.header[*New Computer \ Modern*][*原版\ CMSY10*][*修改版\ CMSY10*],
table.hline(), table.vline(x: 1), table.vline(x: 2),
..examples
.map(it => ("New Computer Modern Math", "cmsy10", "Computer Modern Symbol").map(font => {
set text(font: font, fallback: false)
show math.equation: set text(font: font)
it
}))
.flatten(),
)
warning: current font is not designed for math
┌─ <stdin>:6:2
│
6 │ $cal(A B C)$,
│ ^^^^^^^^^^^^
│
= hint: rendering may be poor
warning: current font is not designed for math
┌─ <stdin>:9:2
│
9 │ $cal(T) x - 2 y >> cal(A)$,
│ ^^^^^^^^^^^^^^^^^^^^^^^^^^
│
= hint: rendering may be poor
warning: current font is not designed for math
┌─ <stdin>:11:2
│
11 │ $-> => arrow.r.quad arrow.tr arrow.b$,
│ ^^^^^^^^^^^^^^^^^^^^^^^^^^^^^^^^^^^^^
│
= hint: rendering may be poorTIP
上例出现警告是正常现象。